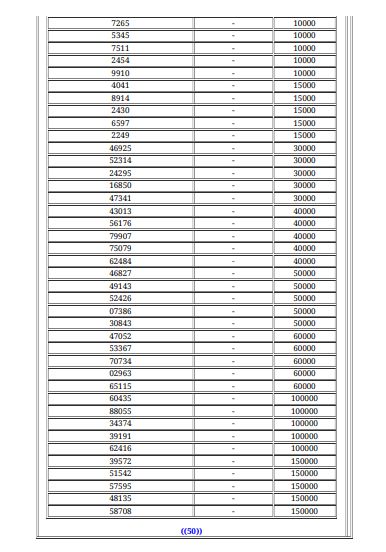
صدرت الليلة نتائج معرض دمشق الدولي من خلال الفضائية السورية وأعلنت ارقام البطاقات الرابحة في يانصيب معرض دمشق الدولي ، وإسم الفائز في الجائزة الكبري في يانصيب معرض دمشق .



عرضنا لكم زوارنا الكرام أهم التفاصيل عن خبر نتائج سحب يانصيب معرض دمشق الدولي-اصدار رأس السنة - الأرقام الرابحة في يانصيب معرض دمشق الدولي - ادخال رقم بطاقة يانصيب 2018 على دوت الخليج فى هذا المقال ونتمى ان نكون قدمنا لكم كافة التفاصيل بشكل واضح وبمزيد من المصداقية والشفافية واذا اردتكم متابعة المزيد من اخبارنا يمكنكم الاشتراك معنا مجانا عن طريق نظام التنبيهات الخاص بنا على متصفحكم او عبر الانضمام الى القائمة البريدية ونحن نتشوف بامدادكم بكل ما هو جديد.
كما وجب علينا بان نذكر لكم بأن هذا المحتوى منشور بالفعل على موقع المشرق نيوز وربما قد قام فريق التحرير في دوت الخليج بالتاكد منه او التعديل علية اوالاقتباس منه او قد يكون تم نقله بالكامل ويمكنك قراءة ومتابعة مستجدادت هذا الخبر من مصدره الاساسي.
